
Municipales 2026 : retrouvez les résultats du second tour
Publié le
Résultats du second tour :
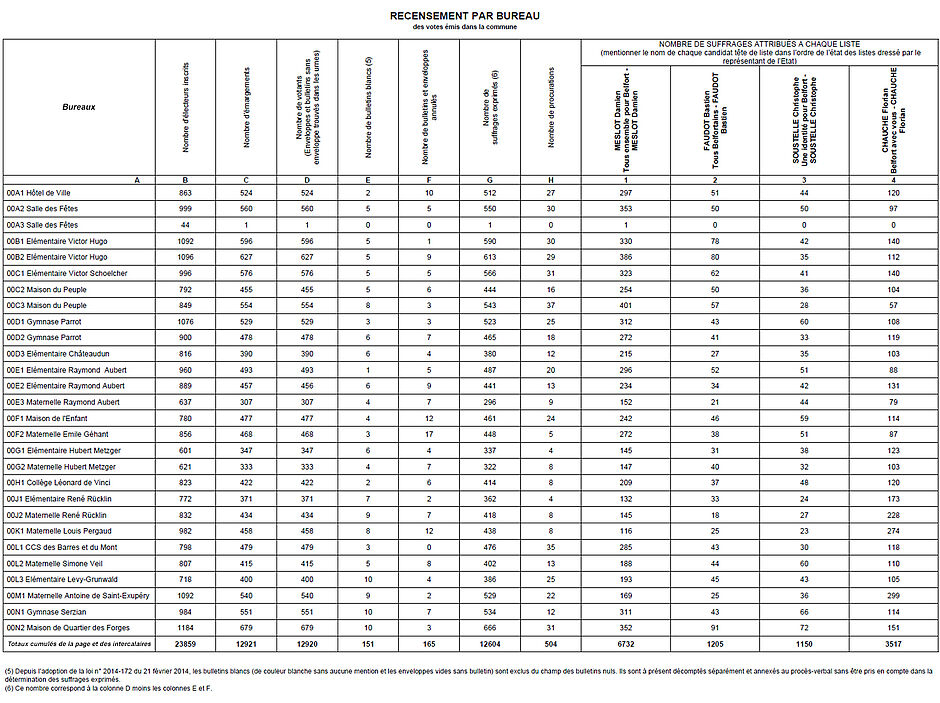
Inscrits : 23 859 / Votants : 12920 (54.15%) / Abstentions : 10 939 (45.85%) / Procurations : 504
Blancs : 151 (1.17%) / Nuls : 165 (1.28%) / Exprimés : 12604 (97.55%)
> Résultats du 1er tour par bureaux de votes
> Résultats du 2e tour par bureaux de votes + feuille de proclamation
| N° LISTE | TÊTE DE LISTE / LISTE | NB VOIX | % |
| 1 | MESLOT Damien Tous ensemble pour Belfort | 6732 voix | 53.41% |
| 2 | FAUDOT Bastien Tous Belfortains - Liste d'union de la gauche républicaine, démocrate et écologiste | 1205 voix | 9.56% |
| 3 | SOUSTELLE Christophe Une identité pour Belfort | 1150 voix | 9.13% |
| 4 | CHAUCHE Florian Belfort avec vous | 3517 voix | 27.90% |
