
Résultats élections municipales 1er tour
Publié le
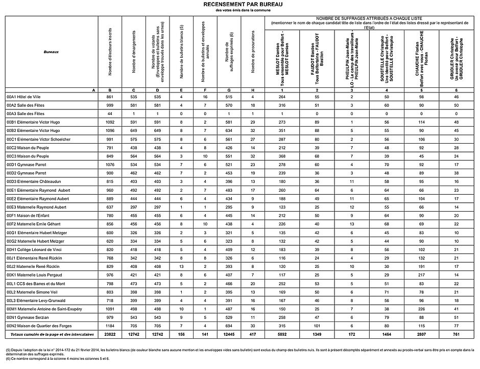
Retrouvez le détail complet des résultats dans le document ci-dessous.
> Télécharger les résultats

Publié le
Retrouvez le détail complet des résultats dans le document ci-dessous.
> Télécharger les résultats
RéalisationStratis